1092 - 流程图

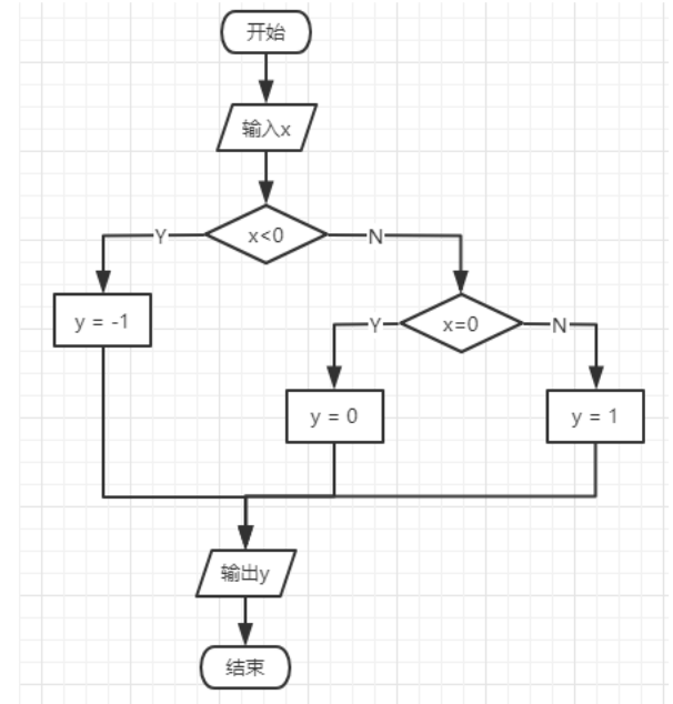
依据下面的流程图,完成程序。并简要说明程序的作用。 20201010155509_25698.png

输入

输入x值(整数)。

输出

相应的y值。

样例

输入

-1

输出

-1

来源

奇遇编程

题目参数

时间限制 1 秒
内存限制 32 MB
提交次数 8
通过人数 5
统计

上一题 下一题