2592 - 【入门】求二叉树的深度及遍历结果

从键盘读入一棵二叉树,请问这棵二叉树的深度是多少?这棵二叉树如果后序遍历的结果是什么?

输入

第1行输入一个整数n,代表读入的数据数量。(n≤100)

第2行读入n个非负整数,代表读入的数据,读入的整数中,如果值大于0,代表的是二叉树的结点,如果值等于0,代表当前结点为空。(根结点的深度为1)

二叉树的构造按照层次顺序(即第1层1个整数,第2层2个,第3层4个,第4层有8个......,如果某个结点不存在以0代替)

样例数据确保读入的第n个整数>0

输出

输出有2行;

第1行输出该二叉树的深度;

第2行输出后序遍历二叉树得到的序列,数字之间用空格隔开;

样例

输入

5
1 2 0 3 4

输出

3
3 4 2 1

提示

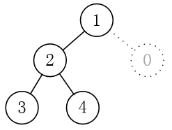
样例对应二叉树如下图所示:

来源

二叉树

题目参数

时间限制 1 秒
内存限制 32 MB
提交次数 0
通过人数 0
统计

上一题 下一题