A国有n个城市(编号为1~n),城市之间修建了m条单向的高速公路。请求出从每个城市能到达的编号最大的城市是哪个城市?
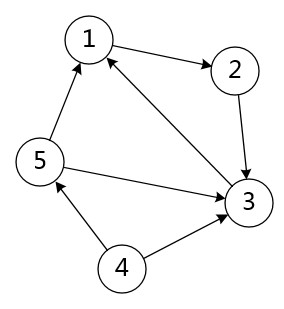
例如下图所示的地图,1 2 3 4 5号城市分别能到达的编号最大的城市为:3 3 3 5 5。
第1行有2个整数n和m,分别代表城市数量和高速公路的数量。(1≤n≤105,1≤m≤105)
接下来m行,每行有2个整数x和y,分别代表从x号城市到y号城市有一条单向的高速公路。(1≤x,y≤n)
输出n个整数,用空格隔开,分别代表编号为1 2 3 4 ... n的城市,按照给定的数据,能到达的最大编号的城市。
5 7 1 2 2 3 3 1 4 3 5 3 4 5 5 1
3 3 3 5 5
图论